座機:027-87580888
手機:18971233215
傳真:027-87580883
郵箱:didareneng@163.com
地址: 武漢市洪山區魯磨路388號中國地質大學校內(武漢)
產業技術研究地熱溫泉尾水梯級利用+水源熱泵系統研究
文章來源:地大熱能 發布作者: 發表時間:2022-09-14 15:16:44瀏覽次數:3467
地熱是深藏在地下的可再生能源, 距離地面500m到3000m左右。一般以水的形式存在,水被地層中溫度高的巖石層加熱形成熱水,熱水的溫度與所 在位置與地面的高度有關。一般來講,深度越深, 水對應的飽和溫度越高,地熱水對應的溫度越高,其溫度可高達 110 ℃,目前地熱水應用最廣泛為溫泉洗浴,其溫度范圍在 40~60 ℃之間,利用之后的熱水在30 ℃以 上,其中大部分被直接排放掉,造成能量的極大浪費,同時溫泉鉆井的費用較高,也會造成回收年的延長。采用水源熱泵系統對地熱尾水進行梯級利用, 滿足周 邊地區供熱需求,大大節省常規能源的消耗,減輕空氣質量污染。
地熱梯級利用的兩個重要設備為耐腐蝕板式換 熱器及熱泵機組。換熱器可以實現不同溫度介質溫度 的轉移, 保證用戶側的實際用熱需求。熱泵技術是利 用地熱能形成的低溫熱能資源, 采用熱泵原理, 通過 少量的高位電能輸入, 實現低位熱能向高位熱能轉移 的一種技術。 地熱水被水泵輸送到地面以后首先進入溫泉水 池, 水的溫度一般為 60 ℃, 經過溫泉水池后熱水溫度 降為 40 ℃。由于 40 ℃的高溫水無法進入水源熱泵的 蒸發器, 因此該熱水先進入板式換熱器, 換取更低溫 度的熱水使其進入熱泵機組的蒸發器, 板式換熱器一 次側進出水溫度為 40/25 ℃,二次側進出水溫度為 6/25 ℃。整個系統能量的梯級利用原理如圖 1 所示。

從板式換熱器一次側出來的溫泉水溫度大約在 25 ℃。此時可以直接進入二級熱泵機組的蒸發器, 其 溫降為 10 ℃, 出水溫度為 15 ℃, 然后在進入三級熱泵 機組蒸發器, 提熱后溫度降為 5 ℃, 考慮到回灌難度較 大、 成本高, 此時溫泉水可以直接排放。 一級、 二級、 三級熱泵的冷凝器作為用戶側的高 溫熱源,向用戶源源不斷地統一供應 50/40 ℃循環熱 水, 解決采暖需求, 熱量的低溫熱源全部從熱泵的蒸 發器中汲取。 原有溫泉水熱利用系統的溫差僅為 20 ℃, 采用溫 泉熱水梯級利用之后, 系統的溫差提高到 55 ℃, 相比 于原有系統可以增加熱量利用 2.75 倍。
以山東某小區為例, 該地區供熱溫泉水溫度可以 達到 60 ℃, 溫泉水的水量為 75m 3/h, 未采用熱泵系統進行能量梯級利用之前, 溫泉水利用的熱量計算公式 如下。
q =1.163*G*△t
式中: q 為溫泉消耗的熱量, kW; G 為溫泉水的流量, m 3/h; △t 為溫泉水溫差, 20 ℃。 代 入 公 式 可 以 計 算 出 溫 泉 消 耗 的 熱 量 為 =1744kW。采用水源熱泵系統進行梯級利用之后可以 進一步利用的供回水溫差為 35 ℃, 提供的供熱能力計 算公式如下:

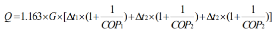
式中: Q 為溫泉熱水梯級利用可以提供的供熱量, kW; △t1 為板式換熱器進出口溫差,取 15 ℃; COP1 為一級 熱泵的能效比; △t2 為二級熱泵蒸發器的進出口溫差, 取 10 ℃; COP2 為二級熱泵的能效比; △t3 為三級熱泵 蒸發器的進出口溫差, 取 10 ℃; COP3 為三級熱泵的能 效比;通過初步計算選擇熱泵及板式換熱器的型號, 如表 1。

根據熱泵機組的樣本, 冬季熱泵額定工況下的入 口水溫為 15 ℃。供回水溫差為 8 ℃。而在該系統中熱 泵機組的入口溫度為非額定工況, 為 25 ℃, 切供回水 的溫差為 10 ℃, 因此需要根據機組的工況曲線圖進行 修正, 機組變工況曲線如圖 2。 根據變工況曲線圖, 進入熱泵機組的供回水溫差 為 5 ℃, 熱泵實際的出水溫度為 60 ℃, 蒸發器的進水 溫度為 15 ℃,查詢曲線可得制熱量的修正系數為136%, 輸入功率修正系數為 73%, 則實際的機組設計 參數修正后如表 2。

為了更好地分析溫泉尾水的經濟環保效益, 將其與市政集中供熱進行對比分析,集中供熱收費按照26.7 元 /m2,建筑物累計負荷按照山東省居住建筑標 準進行估算為 12727 GJ。 通過計算對山東某小區溫泉尾水采用梯級利用后, 可以取得良好的經濟環保效益, 每年可以為 93000 m 2 建筑面積供熱, 與集中供熱系統相比, 水源熱泵梯 級利用系統可以提供的供熱負荷為 4185 kW,每年可 以節約標準煤為 506 噸,節省 53.9 萬元,回收年限為 5.5 年; 減排 1261 tceCO2, 37.9 tceSO2, 19.2 tceNOx, 344 tce 粉塵,節能環保效益非常顯著, 最大限度地利用淺 層地熱能中溫泉水的余熱資源,從一定程度上減少了 化石能源的消耗,同時對于環境污染能起到一定緩解。
溫泉水中的熱水屬于地下淺層地熱能的一種形式, 目前的熱能利用僅限于洗浴, 大部分的熱量被排放掉。如果增加水源熱泵的梯級利用系統,將溫泉水的尾水繼續通過熱泵進行梯級利用,可以為部分建筑供暖,就會減少常規能源的消耗。由于溫泉直接排放的 熱水溫度較高, 無法直接進入熱泵機組, 因此一級熱泵需要增加中介水系統。中介水與溫泉尾水通過板式換 熱器進行熱量交換, 結合實際的項目工程, 對熱泵梯級利用系統與集中供熱系統進行對比分析, 前者每年可 以節約標準煤為 506 t,節省費用 53.9 萬元,減排 1261 tceCO2, 37.9 tceSO2, 19.2 tceNOx, 344 tce 粉塵,經濟回收期年限為 5.5 年, 節能環保效益顯著, 同時對于環境 污染能起到一定的緩解。
上一篇 > 北京大興國際機場地源熱泵系統實際應用研究
下一篇 > 干熱巖勘查開發場地選址指標體系建立研究








